2025-09-30
YY易游m6米乐新型长效胰岛素类似物舒地胰岛素(INS068)两项降糖III期研究亮相EASD简短口头报告
中欧夏令时间(CEST)2025年9月15至19日,第61届欧洲糖尿病研究协会(EASD)年会在奥地利维也纳举办。期间,YY易游m6米乐自主研发的新型长效胰岛素类似物舒地胰岛素(INS068)治疗成人2型糖尿病(T2DM)患者的两项关键III期临床试验(INS068-301和INS068-302)分别以简单口头报告形式精彩亮相。
INS068-301研究由复旦大学附属中山医院李小英教授作为主要研究者,带领全国56家中心共同参与完成。INS068-302研究由北京大学人民医院纪立农教授作为主要研究者,带领全国68家中心共同参与完成。两项研究结果表明,在口服降糖药控制不佳或基础胰岛素控制不佳的T2DM患者中,舒地胰岛素在血糖控制方面显示出与甘精胰岛素相当的疗效,且夜间低血糖风险明显降低[1]。本文详细介绍两项关键III期临床试验的研究设计、研究结果及在T2DM人群中的潜在应用前景。

2025 EASD现场图:
北京大学人民医院高蕾莉教授就INS068-302研究做口头报告

2025 EASD现场图:
YY易游m6米乐陈虹博士就INS068-301研究做口头报告
研究背景和目的
T2DM是⼀种慢性进展性疾病,随着病程发展,常需要联合两种或两种以上降糖药物以维持血糖控制。基础胰岛素是T2DM治疗的重要手段,但低血糖风险,尤其是夜间低血糖,是其临床应用中的主要挑战。
舒地胰岛素是⼀种新型的可溶性长效胰岛素类似物,每日⼀次皮下注射给药。药物半衰期约为21小时,在稳态下正葡萄糖钳夹试验中降糖效果可持续超过42小时[2]。
INS068-301与INS068-302为两项随机、开放标签、平行对照设计的III期临床研究,分别纳入基础胰岛素经治后血糖控制不佳以及口服降糖药经治后血糖控制不佳的T2DM患者,进行舒地胰岛素与甘精胰岛素的头对头对比。两项研究的目的为评估舒地胰岛素在中国T2DM患者中的疗效与安全性,本报告对两项研究的关键数据进行汇总呈现。
INS068-301研究:舒地胰岛素(INS068)与甘精胰岛素在基础胰岛素控制不佳的T2DM患者中的疗效和安全性比较
01研究设计
研究纳入已接受基础胰岛素治疗≥8周,糖化血红蛋白(HbA1c)7.0%-10.0%的成年T2DM患者。符合纳入标准的受试者按1:1比例随机分组,接受INS068或甘精胰岛素(IGlar)每日一次(QD)皮下注射治疗。胰岛素起始剂量根据患者此前使用的基础胰岛素剂量进行换算,治疗期间进行剂量滴定(目标血糖:早餐前自我监测指尖血糖 3.9~5.6mmol/L)。
本研究的主要终点指标为治疗第26周HbA1c相对基线变化,采用非劣效性检验进行统计分析,设定非劣效界值为0.4%。

图1:INS068-301研究设计(ClinicalTrials.gov, NCT05702073)
02研究结果
1基线特征
研究共入组423例中国成人T2DM受试者,INS068组和IGlar组分别入组211例和212例。
两组受试者人口学和其他基线特征相似,具有可比性。INS068组和IGlar组中,平均年龄分别为58.3岁和58.5岁,男性占比分别为62.1%和55.7%,平均BMI分别为24.78 kg/m2和24.83 kg/m2,平均HbA1c分别为8.30%和8.36%,平均空腹血糖(FPG)分别为8.34 mmol/L和8.51 mmol/L,基础胰岛素的平均日剂量分别为16.1 U和16.6 U。

表1:INS068-301研究基线特征
2降糖疗效
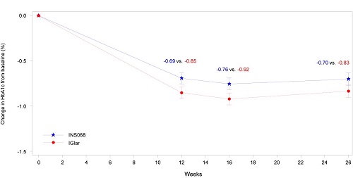
本研究达到预设的主要终点,治疗26周后,INS068组的HbA1c相对基线变化非劣于IGlar组。INS068组与IGlar组的HbA1c降幅分别为0.70%和0.83%,两组差值为 0.13%(95% CI:-0.05,0.31)。

图2:INS068-301研究主要终点:治疗第26周HbA1c相对基线变化
治疗26周后,INS068组FPG降幅大于IGlar组(均值变化:-2.40 mmol/L vs -1.96 mmol/L;两组差值:-0.45 mmol/L,95% CI:-0.74,-0.16)。

图3:INS068-301次要终点:26周时FPG较基线的变化
两组受试者在接受治疗12周后,早餐前自我监测血糖(SMPG)趋于稳定,且两组各访视前三天的早餐前SMPG均值基本一致。治疗第26周,INS068组与IGlar组的每日胰岛素剂量分别为 0.46 U/kg和0.48 U/kg。
3 安全性
研究期间,INS068组和IGlar组治疗期间出现的不良事件(AE)和治疗相关AE的发生率均相当。INS068组和IGlar组的SAE发生率相当,且均与治疗无关。研究期间未发生导致治疗提前终止、暂停用药的AE。
与IGlar组相比,INS068组的总低血糖发生率在数值上低于IGlar组(两组发生率分别为48.6% vs 53.8%,风险比0.90 [0.75, 1.09]),且夜间总低血糖风险低于IGlar组(两组发生率分别为21.9% vs 33.5%,风险比0.65 [0.48, 0.90])。
INS068-302研究:舒地胰岛素(INS068)与甘精胰岛素在口服降糖药控制不佳的T2DM患者中的疗效及安全性比较
01 研究设计
研究纳入已接受稳定剂量口服降糖药(OADs)治疗≥8周,HbA1c 7.0%-11.0%的成年T2DM患者。符合纳入标准的患者按2:1比例随机分组,分别接受INS068或IGlar每日一次(QD)皮下注射治疗。胰岛素起始剂量为每日10 U,治疗期间进行剂量滴定(目标血糖:早餐前自我监测指尖血糖3.9~5.6 mmol/L)。
研究的主要终点指标为治疗第26周HbA1c相对基线变化,采用非劣效性检验进行统计分析,设定非劣效界值为0.4%。

图4:INS068-302研究设计(ClinicalTrials.gov, NCT05699408)
02 研究结果
1 基线特征
研究共入组513例中国成人T2DM受试者,INS068组和IGlar组分别入组341例和172例。
两组受试者人口学和其他基线特征相似,具有可比性。INS068组和IGlar组中,平均年龄分别为56.7岁和55.7岁,男性占比分别为60.1%和64.0%,平均BMI分别为24.9kg/m2和25.0 kg/m2,平均HbA1c分别为8.44%和8.47%,FPG分别为9.32 mmol/L和9.36 mmol/L。
表2:INS068-302研究基线特征
2 降糖疗效
本研究达到预设的主要终点,治疗26周后,INS068组的HbA1c相对基线变化非劣于IGlar组。INS068 组与 IGlar组的HbA1c降幅分别为 1.34% 和 1.36%, 两组差值为 0.02%(95% CI:-0.14%,0.18%)。
治疗26周后,两组FPG降幅相当(分别为 3.35 mmol/L vs 3.21 mmol/L)。
两组降糖效果均可维持至治疗第52周,且组间疗效相当。

图5:INS068-302研究主要终点:HbA1c较基线的变化

图6:INS068-302研究次要终点:FPG较基线的变化
两组受试者在治疗8周左右,早餐前SMPG趋于稳定,且两组各访视前三天的早餐前SMPG均值基本一致。治疗第26周,INS068组和IGlar组每日胰岛素剂量分别为0.36 U/kg和0.38 U/kg;治疗第52周,两组胰岛素剂量分别滴定调整为0.38 U/kg和0.40 U/kg。
3 安全性
本研究INS068组和IGlar组治疗期间出现的AE、治疗相关AE和SAE的发生率相当。
在26周治疗期间,INS068组的总低血糖发生率与夜间总低血糖发生率数值低于IGlar组(两组总低血糖发生率分别为34.7% vs 41.3%,风险比0.84 [0.67, 1.06];两组夜间总低血糖发生率分别为14.5% vs 18.6%,风险比0.78 [0.52, 1.17])。
在52周治疗期间,INS068组的总低血糖风险与夜间总低血糖风险均明显低于IGlar组(两组总低血糖发生率分别为43.6% vs 54.7%,风险比0.80 [0.67, 0.96];两组夜间总低血糖发生率分别为19.6% vs 30.2%,风险比0.65 [0.47, 0.89])。
研究结论
INS068-301和INS068-302两项关键性III期临床研究的结果表明,在两种不同治疗背景(基础胰岛素控制不佳或⼝服降糖药控制不佳)的中国T2DM患者中,相较于甘精胰岛素,舒地胰岛素(INS068)可在控糖同时降低低血糖风险,有望为2型糖尿病患者提供⼀种全新的治疗选择。
参考文献:
[1] http://www.easd.org/annual-meeting/easd-2025/programme/
[2] Hompesch M, et al. Pharmacodynamics, Pharmacokinetics, Safety, and Tolerability of INS068 vs Insulin Degludec in Type 1 Diabetes at Steady State: a Phase I, Randomised, Double-blind, Cross-over Trial. the 57th Annual Meeting of EASD, 27 Sep~ 1 Oct. 2021, Stockholm Sweden, Abstract OP 36.
声明:
1.本新闻旨在分享学术前沿动态,仅供医疗卫生专业人士基于学术目的参阅,非广告用途。
2.YY易游m6米乐不推荐任何未被批准的药品、适应症的使用。